Anuncio
Colapsar
No hay ningún anuncio todavía.
Nomenclatura de aldehídos, cetonas y ácidos
Colapsar
X
-
Re: Nomenclatura de aldehídos, cetonas y ácidos
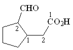
1)acido3(2formil) ciclo pentil propanoico. 2)acido 2 isopropil -3,5-dimetil-4-oxo hexanoico. 3)acido-4-butenoico 4) acido 2-isopropil-3,4,5-trimetil hexanoico. 5) acido 2 formil ciclopentanoico 7) acido-4etil-4metil -7 bromo heptanoico 8)acido 4butil heptanoico 9)acido 2(1metil propilo) 4 fenil hexanoico 10) acido 3(terc-butilo) 6 etil nonano
- - - Actualizado - - -
6) 4-oxo-2-hexenal
Contenido relacionado
Colapsar




Comentario