Anuncio

Colapsar
No hay ningún anuncio todavía.

Nomenclatura de ácidos organicos

Colapsar
X
 
  • Filtro
  • Hora
  • Mostrar
Borrar todo
nuevos mensajes

  • Otras carreras Nomenclatura de ácidos organicos

    Tengo inconvenientes en nombrar estos compuestos. avance un poco pero me falta completar:

    Ácido .....
    Haz clic en la imagen para ampliar

Nombre:	image07.GIF
Vitas:	1
Tamaño:	1,5 KB
ID:	310912


    Ácido 2- ... -3,5-dimetil-4-oxohexanoico


    Haz clic en la imagen para ampliar

Nombre:	image05.GIF
Vitas:	1
Tamaño:	1,6 KB
ID:	310913


    Ácido 2- ... -3,4,5-trimetilhexanoico

    Haz clic en la imagen para ampliar

Nombre:	image03.GIF
Vitas:	1
Tamaño:	1,5 KB
ID:	310914

  • #2
    Re: Nomenclatura de ácidos organicos

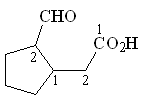
    1)Ácido 3(2 formil)ciclo pentil propanoico
    2)Ácido 2 isopropil-3,5 dimetil-4 oxo-hexanoico
    3)Ácido 2 isopropil........

    Comentario

    Contenido relacionado

    Colapsar

    Trabajando...
    X