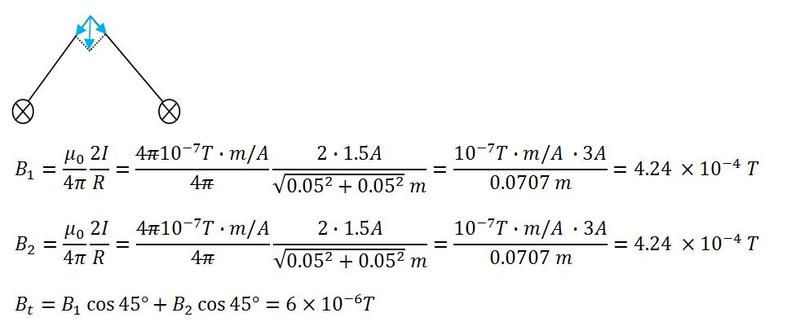
Dos conductores rectilíneos, paralelos y muy largos transportan corrientes de sentidos contrarios e iguales a 1,5 A. Los conductores son perpendiculares al plano de un cuadrado de lado 10 cm y pasan por dos de los vértices contiguos como se indica en la figura. Calcula el campo magnético en los puntos (1) P1 situado en el centro del lado por cuyos extremos pasan los conductores y (2) P2 situado en el centro del cuadrado.

Aplico la ley de Biot y Savart para un conductor rectilíneo, sumando ambas campos magnéticos Nombro a los conductores como 1 y 2.

P2. En este caso usamos los campos magneticos no se oponen, sino que se complementan. Por semejanza de triángulos, usamos el coseno.

¿Estarian bien plantedos y resueltos?. Gracias de antemano.
Aplico la ley de Biot y Savart para un conductor rectilíneo, sumando ambas campos magnéticos Nombro a los conductores como 1 y 2.
P2. En este caso usamos los campos magneticos no se oponen, sino que se complementan. Por semejanza de triángulos, usamos el coseno.
¿Estarian bien plantedos y resueltos?. Gracias de antemano.





Comentario