Hola necesito ayuda para resolver esto:

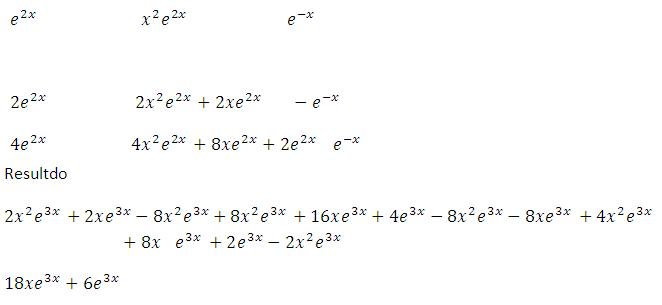
Ya resolver el primero con el Wronskiano por que derivo hasta la segunda derivada y asi lo resulvo 3 por 3 quedo asi
	
		
Mi pregunta es que hacer cuando son 4 variables que son la segunda y la tercera?
se que se derivas 3 veces pero como se trabaja con una matriz de 4x4, Agredeceria si me las resuelve o me explican
Gracias por su atencion
					Ya resolver el primero con el Wronskiano por que derivo hasta la segunda derivada y asi lo resulvo 3 por 3 quedo asi
			
			
				  [ATTACH=CONFIG]4285[/ATTACH]
			
		
	se que se derivas 3 veces pero como se trabaja con una matriz de 4x4, Agredeceria si me las resuelve o me explican
Gracias por su atencion





Comentario