hola gente vengo con una pequeña duda, que me salio después de realizar el siguiente ejercicio.

el ejercicio ya lo resolví y mi respuesta fue:
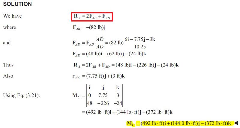
ahora la pregunta me salio cuando vi el solucionario vi que tenia una respuesta diferente,

la respuesta esta en amarillo pero la pregunta mía esta en el recuadro rojo, no entiendo porque el toma 2 veces la fuerza ,
pensé que era porque en el enunciado me decían que tenia 2 grúas pero descarte esta opción porque solo me piden que analice la fuerza con una grúa.
ahora que se me acabaron las ideas vengo a pedir ayuda a ustedes.
de antemano gracias por su ayuda y por gastar un poco de su tiempo respondiendo este post.
el ejercicio ya lo resolví y mi respuesta fue:
ahora la pregunta me salio cuando vi el solucionario vi que tenia una respuesta diferente,
la respuesta esta en amarillo pero la pregunta mía esta en el recuadro rojo, no entiendo porque el toma 2 veces la fuerza ,
pensé que era porque en el enunciado me decían que tenia 2 grúas pero descarte esta opción porque solo me piden que analice la fuerza con una grúa.
ahora que se me acabaron las ideas vengo a pedir ayuda a ustedes.
de antemano gracias por su ayuda y por gastar un poco de su tiempo respondiendo este post.





Comentario