Anuncio

Colapsar
No hay ningún anuncio todavía.

ciclo Brayton

Colapsar
X
 
  • Filtro
  • Hora
  • Mostrar
Borrar todo
nuevos mensajes

  • Otras carreras ciclo Brayton

    Hola aquí os dejo un problema de ciclo joule que he resuelto. Tengo como dudas 2 cuestiones:
    1-además de lo que he resuelto que espero que esté correcto, me piden T,P,Pr,H del estado 0
    2- condiciones de cada estado, en esto no se a qué se refieren

    Os adjunto el ejercicio resuelto a ver qué opináis sobre si está bien realizado y espero que podáis responder mis dudas.
    Gracias y SaludosHaz clic en la imagen para ampliar

Nombre:	2012-04-15-001_1.jpg
Vitas:	1
Tamaño:	20,6 KB
ID:	307625Haz clic en la imagen para ampliar

Nombre:	2012-04-15-002.jpg
Vitas:	1
Tamaño:	19,9 KB
ID:	307626

  • #2
    Re: ciclo Brayton

    Hola, quiero hacer una pequeña aclaración al enunciado del problema. El enunciado completo sería:
    "Un ciclo Joule de turbina de gas funciona con una relación de compresión igual a 8. En un dia de verano el aire entra al compresor en condiciones ambientales de 300k de temperatura y 1 bar de presión siendo el flujo másico 50 kg/s. En la cámara de combustión los gases se calientan hasta 1300 k. Rendimiento isoentrópico del compresor y turbina 0.8 y 0.85 respectivamente. Rendimiento eléctrico del alternador 0.95"

    Pongo como aclaración el enunciado completo porque no entiendo porqué razón nos piden T,h,Pr,P y condiciones de cada estado y nos piden del estado 0,1,2,3,4 . El estado 0 y 1 no tienen los mismos valores ?
    Muchas gracias y saludos

    Comentario


    • #3
      Re: ciclo Brayton

      Hola.

      A ver si puedes poner todo escrito aqui sin foto, y si puedes poner las preguntas completas, lo que te piden.

      Y tambien poner la resolución que has hecho, es que no lo entiendo en la foto.

      Yo interpreto que eso es una Turbina de Gas de ciclo abierto. Pero no estoy seguro.

      Un saludo.
      Así como hay un arte de bien hablar, existe un arte de bien escuchar. (Epicteto)

      Comentario


      • #4
        Re: ciclo Brayton

        Hola sheldon cooper2 colgare a la mayor brevedad posible el ejercicio completo resuelto para que me des tu opinión sobre la resolución, muchas gracias, saludos......
        Última edición por Celadas; 16/04/2012, 21:12:47.

        Comentario


        • #5
          Re: ciclo Brayton

          Hola nuevamente,eía el enunciado completo del problema:
          Un ciclo Joule de turbina de gas funciona con una relación de compresión igual a 8. En un dia de verano el aire entra al compresor en condiciones ambientales de 300k de temperatura y 1 bar de presión siendo el flujo másico 50 kg/s. En la cámara de combustión los gases se calientan hasta 1300 k. Rendimiento isoentrópico del compresor y turbina 0.8 y 0.85 respectivamente. Rendimiento eléctrico del alternador 0.95 Suponiendo que el aire tiene un comportamiento de gas ideal :
          1-representar el esquema de la instalación
          2-Calcular los valores : T(K), P(bar), Pr, h(Kj/kg), condiciones. De los estados 0, 1,2s ,2 ,3 ,4s ,4
          Los cálculos que he realizado son los siguientes:

          entonces como
          De las tablas de gases ideales tenemos para será
          así que
          Por interpolación hallamos
          con la fórmula
          hallamos
          de las tablas hallamos

          con la fórmula

          entonces

          interpolamos para hallar que al aplicar la fórmula

          entonces al volver a interpolar hallamos

          El rendimiento térmico de la fórmula
          La pontencia neta del ciclo

          La potencia eléctrica

          El rendimiento exergético será con la fórmula

          La exergía in la hallamos con la fórmula

          de las tablas hemos obtenido para

          y por interpolación hemos hallado


          Gracias y Saludos
          Última edición por Celadas; 17/04/2012, 15:22:36.

          Comentario


          • #6
            Re: ciclo Brayton

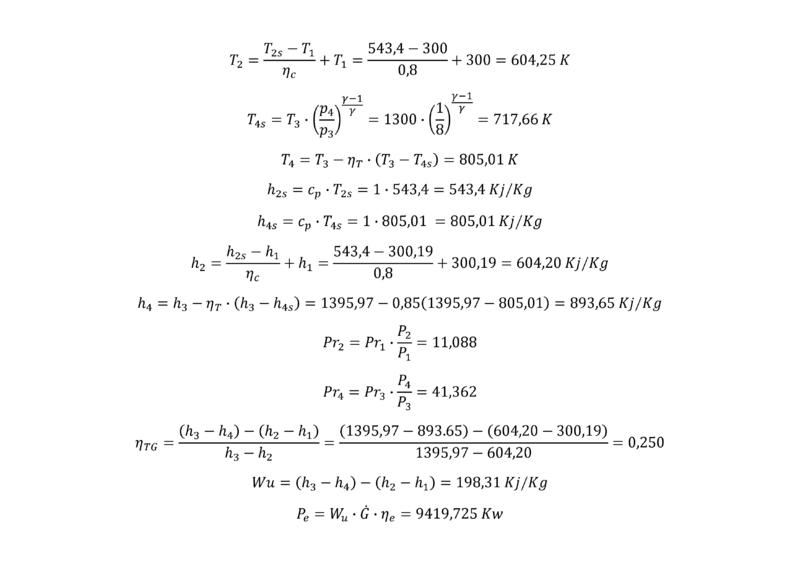
            Hola de nuevo, aquí te dejo mis consideraciones sobre el problema que planteabas:

            Haz clic en la imagen para ampliar

Nombre:	o_ee1cc82829d19f9a-0.jpg
Vitas:	1
Tamaño:	40,2 KB
ID:	300581
            Haz clic en la imagen para ampliar

Nombre:	o_ee1cc82829d19f9a-1.jpg
Vitas:	1
Tamaño:	32,0 KB
ID:	300583
            Haz clic en la imagen para ampliar

Nombre:	o_ee1cc82829d19f9a-2.jpg
Vitas:	1
Tamaño:	9,8 KB
ID:	300582
            Espero que te pueda ayudar en algo.

            Salu2.
            Así como hay un arte de bien hablar, existe un arte de bien escuchar. (Epicteto)

            Comentario


            • #7
              Re: ciclo Brayton

              Gracias Sheldon cooper 2, por cierto el otro día intenté enviarte un privado pero no fue posible, querría poder hablar personalmente contigo. Un saludo y gracias

              Comentario


              • #8
                Re: ciclo Brayton

                hola Sheldon cooper 2, el desarrollo que haces del ciclo de Brayton, lo haces como gases perfectos no como gases ideales. Como gases ideales el desarrollo se debe hacer por interpolacion de tablas tal como lo desarrollan en el Morán
                http://books.google.es/books?id=lJJc...page&q&f=false
                Saludos

                Comentario


                • #9
                  Re: ciclo Brayton

                  Hola de nuevo.

                  Quería comentarte que los calculos que te envié los saqué de mis apuntes de cuando estudié ingeniería, así que lo mismo están defasados un poco o no son del todo correctos.
                  Ten cuidado si te estás preparando algún examen.

                  Intento ayudar en lo que puedo.

                  En cuanto al tema de privados no sé como van en este foro, ni las normas que hay, dimelas y comentamos.

                  Salu2.
                  Así como hay un arte de bien hablar, existe un arte de bien escuchar. (Epicteto)

                  Comentario


                  • #10
                    Re: ciclo Brayton

                    Hola los cálculos en principio son correctos pero en el caso de gases perfectos para gases ideales hay que interpolar a partir de las tablas de propiedades del aire como gas ideal que como te decía están en el Morán Shapiro.
                    En cuanto a los privados debes tener alguna prohibición en tú perfil para recibir pirvados.
                    Saludos

                    Comentario


                    • #11
                      Re: ciclo Brayton

                      Gases perfectos y gases ideales son la misma cosa!
                      A mi amigo, a quien todo debo.

                      Comentario


                      • #12
                        Re: ciclo Brayton

                        Hola arivasm!

                        Si esto es asi, no deberían salir los mismos valores en tablas que por fórmulas??

                        Salu2.
                        Así como hay un arte de bien hablar, existe un arte de bien escuchar. (Epicteto)

                        Comentario


                        • #13
                          Re: ciclo Brayton

                          Por supuesto. Lo que sucede es que no me considero suficientemente capacitado para encontrar la causa de las discrepancias. De todos modos haré una pregunta: el valor de Cp de 1 kJ/kg K no es una aproximación?
                          A mi amigo, a quien todo debo.

                          Comentario


                          • #14
                            Re: ciclo Brayton

                            Hola de nuevo.

                            Tienes razón, el valor de y el de tomados para gases ideales se supone que se mantendrían constantes, pero en realidad no pueden ser lo mismo para un gas a 300ºK que a 1300ºK. Al tomarlos como fijos podrían discrepar con los valores de las tablas, es solo mi punto de vista, no podría asegurar que esto es así.

                            Seguiré indagando.

                            Salu2.
                            Así como hay un arte de bien hablar, existe un arte de bien escuchar. (Epicteto)

                            Comentario


                            • #15
                              Re: ciclo Brayton

                              Hola, según nos han explicado los gases perfectos son aquellos que tienen constantes los calores específicos. Si echais un vistazo al Morán-Shapiro en la versión inglesa, llaman gases perfectos a "cold air standard" mientras que gases ideales "air standard" , lo podéis ver en el solucionario que os mando http://www.mediafire.com/?42db1gm4peu3ses
                              La resolución es diferente tal como os comentaba.
                              Saludos

                              Comentario

                              Contenido relacionado

                              Colapsar

                              Trabajando...
                              X