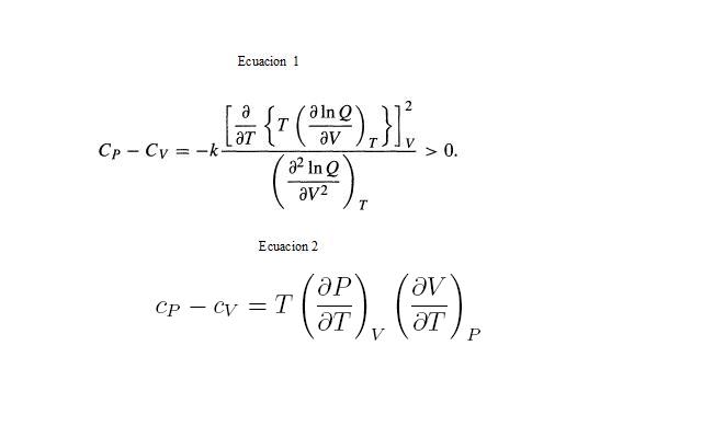
Hola me piden demostrar la inecuacion 1. Yo estaba tratando de partir de la ecuacion 2.
Traté de reemplazar P = (1/B) (d/dV)(log Q)...
Tambien traté de buscar una expresion para (dV/dT) a partir de dA = -PdV-Sdt-udN y dU = Sdt - PdV pero sinceramente no he llegado a nada.
Gracias
Traté de reemplazar P = (1/B) (d/dV)(log Q)...
Tambien traté de buscar una expresion para (dV/dT) a partir de dA = -PdV-Sdt-udN y dU = Sdt - PdV pero sinceramente no he llegado a nada.
Gracias





Comentario