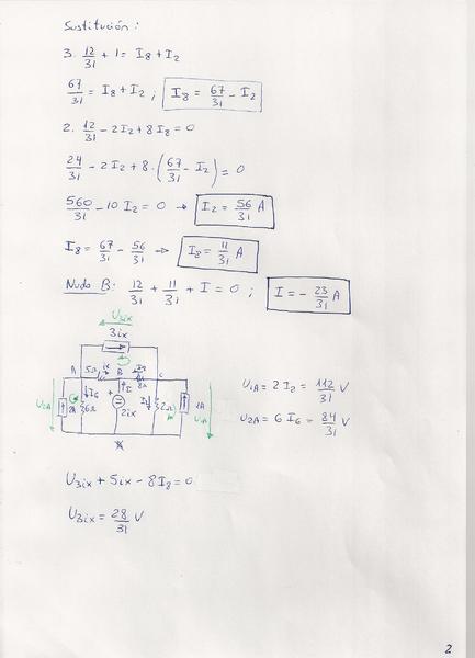
He resuelto el siguiente circuito por el método de los nudos pero no sé si la segunda fila está bien o deberia ser: 0 1 0
adjunto el archivo
muchísimas gracias de antemano
saludos
adjunto el archivo
muchísimas gracias de antemano
saludos





Comentario