Anuncio
Colapsar
No hay ningún anuncio todavía.
Electromagnetismo, ley Biot-Savart
Colapsar
X
-
-
Re: Electromagnetismo, ley Biot-Savart
En primer lugar, aprende cómo introducir ecuaciones en los mensajes y no insertes imágenes innecesarias.
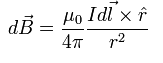
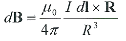
Respecto a tu pregunta, ten en cuenta que , siendo
Saludos,Última edición por angel relativamente; 21/07/2012, 13:39:23.[TEX=null]k_BN_A \cdot \dst \sum_{k=0}^{\infty} \dfrac{1}{k!} \cdot 50 \cdot 10_{\text{hex}} \cdot \dfrac{2\pi}{\omega} \cdot \sqrt{-1} \cdot \dfrac{\dd x} {\dd t } \cdot \boxed{^{16}_8\text{X}}[/TEX]
Contenido relacionado
Colapsar






Comentario