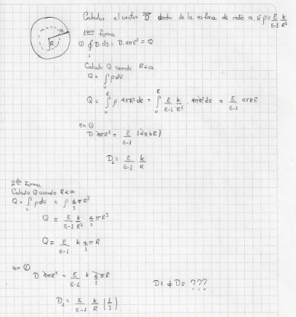
Ya le realice al ejercicio:
no debería salir lo mismo de ambas formas???


lo siento no puedo desadjuntar los archivos de abajo.
gracias
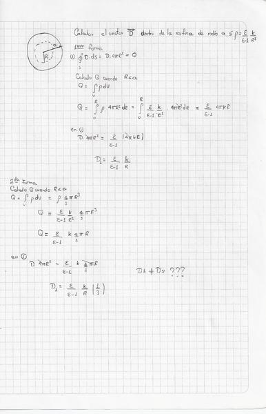
no debería salir lo mismo de ambas formas???
lo siento no puedo desadjuntar los archivos de abajo.
gracias





Comentario