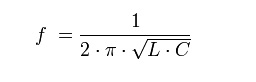
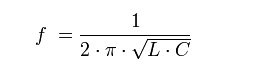
dados estos dos circuitos ¿tienen la misma frecuencia de resonancia?
Según mis cálculos si pero hago simulaciones con un programa informático y me salen distintas, de ser distintas ¿como puedo calcular cada una? ya que la unica formula que aparece en los libros con su deduccion tanto como para circuitos en serie como para circuitos con los componentes en paralelo es la misma.





Comentario