Anuncio

Colapsar
No hay ningún anuncio todavía.

solucion de la ecuacion de laplace en coordenadas esfericas

Colapsar
X
 
  • Filtro
  • Hora
  • Mostrar
Borrar todo
nuevos mensajes

  • 2o ciclo solucion de la ecuacion de laplace en coordenadas esfericas

    Acá les dejo un archivo adjunto a ver si me pueden ayudar es
    sobre la ecuación de Legendre asociada ala ecuación de Laplace en coordenadas esféricas.
    Archivos adjuntos
    Última edición por Laplace; 13/06/2013, 00:30:21.

  • #2
    Ecuacion de Laplaceesarrollo

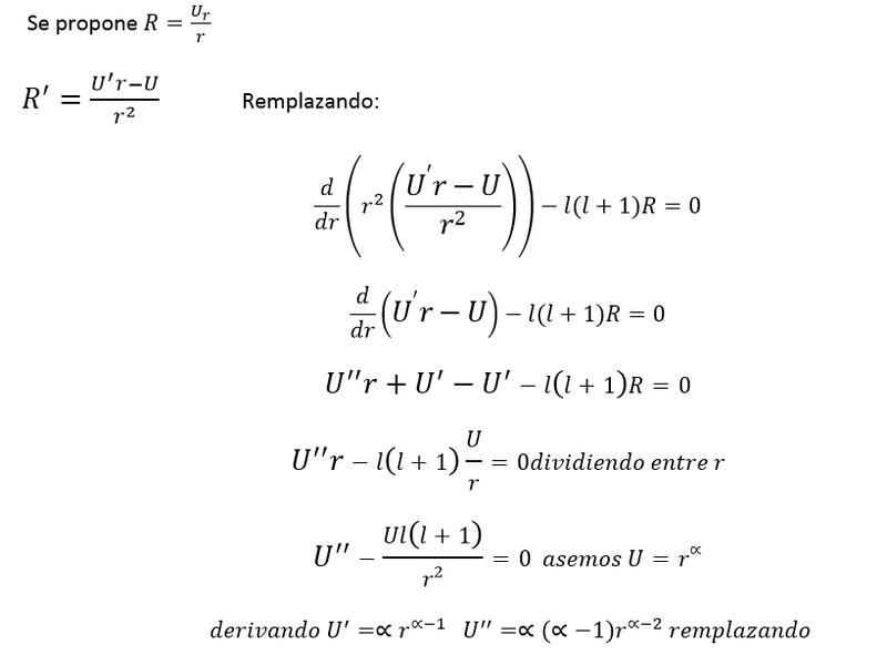
    El problema es esta ecuación me piden hallar su solución: Laplace en coordenadas esféricas tres dimensiones.
    Haz clic en la imagen para ampliar

Nombre:	l.jpg
Vitas:	1
Tamaño:	19,7 KB
ID:	310619a continuación les muestro el procedimiento hasta donde e llegado échenle un vistazo si me falta algo:
    Haz clic en la imagen para ampliar

Nombre:	l1.jpg
Vitas:	1
Tamaño:	41,0 KB
ID:	310620
    Haz clic en la imagen para ampliar

Nombre:	l2.jpg
Vitas:	1
Tamaño:	9,3 KB
ID:	310621
    Haz clic en la imagen para ampliar

Nombre:	l3.jpg
Vitas:	1
Tamaño:	44,4 KB
ID:	310622
    Haz clic en la imagen para ampliar

Nombre:	l4.jpg
Vitas:	1
Tamaño:	47,2 KB
ID:	310623
    Haz clic en la imagen para ampliar

Nombre:	l5.jpg
Vitas:	1
Tamaño:	27,1 KB
ID:	310624
    Haz clic en la imagen para ampliar

Nombre:	l6.jpg
Vitas:	1
Tamaño:	26,4 KB
ID:	310625
    Haz clic en la imagen para ampliar

Nombre:	l7.jpg
Vitas:	1
Tamaño:	19,0 KB
ID:	310626
    Haz clic en la imagen para ampliar

Nombre:	l8.jpg
Vitas:	1
Tamaño:	25,5 KB
ID:	310627
    Haz clic en la imagen para ampliar

Nombre:	l9.jpg
Vitas:	1
Tamaño:	29,3 KB
ID:	310628
    Haz clic en la imagen para ampliar

Nombre:	l10.jpg
Vitas:	1
Tamaño:	32,4 KB
ID:	310629
    Haz clic en la imagen para ampliar

Nombre:	l11.jpg
Vitas:	1
Tamaño:	37,9 KB
ID:	310630
    Haz clic en la imagen para ampliar

Nombre:	l12.jpg
Vitas:	1
Tamaño:	31,5 KB
ID:	310631
    Haz clic en la imagen para ampliar

Nombre:	l13.jpg
Vitas:	1
Tamaño:	38,0 KB
ID:	310632
    Haz clic en la imagen para ampliar

Nombre:	l14.jpg
Vitas:	1
Tamaño:	33,3 KB
ID:	310633
    Haz clic en la imagen para ampliar

Nombre:	l15.jpg
Vitas:	1
Tamaño:	31,1 KB
ID:	310634
    Haz clic en la imagen para ampliar

Nombre:	l16.jpg
Vitas:	1
Tamaño:	18,2 KB
ID:	310635
    Haz clic en la imagen para ampliar

Nombre:	l17.jpg
Vitas:	1
Tamaño:	19,5 KB
ID:	310636
    Haz clic en la imagen para ampliar

Nombre:	l18.jpg
Vitas:	1
Tamaño:	19,7 KB
ID:	310637
    Haz clic en la imagen para ampliar

Nombre:	l19.jpg
Vitas:	1
Tamaño:	51,4 KB
ID:	310638
    Haz clic en la imagen para ampliar

Nombre:	l20.jpg
Vitas:	1
Tamaño:	62,8 KB
ID:	310639
    Espero que ayuden
    Archivos adjuntos

    Comentario

    Contenido relacionado

    Colapsar

    Trabajando...
    X