Anuncio
Colapsar
No hay ningún anuncio todavía.
Función de transferencia RLC
Colapsar
X
-
-
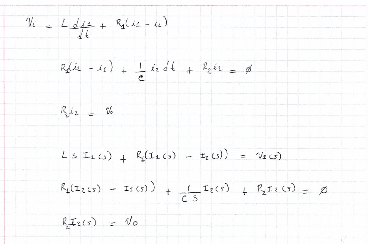
Para hallar la función de transferencia primero usaremos el Teorema de Thèvenin. Para el circuito de la izquierda, (interruptor abierto) hallamos el esquema equivalente de Thèvenin del conjunto formado por la batería, la bobina, el condensador y la resistencia R1
Aplicamos "divisor de tensión" para hallar la tensión de vacío:
Para hallar la impedancia de Thèvenin:
Operando se obtiene:
Ahora mirando el circuito de la derecha, (interruptor cerrado) aplicamos de nuevo "divisor de tensión"
Como la función de transferencia es:
Sustituyendo y operando:
Si los valores numéricos son
Saludos.
Última edición por Alriga; 06/11/2021, 14:32:58.
Contenido relacionado
Colapsar








Comentario