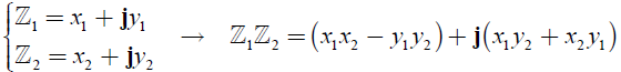
Porque no se obtiene la expresión correcta de la potencia instantánea multiplicando las representaciones complejas
por
y tomando a continuación la parte real ¿Por qué?.
También me gustaría saber porque si se puede obtener la expresión de la corriente usando las representaciones complejas,
y luego tomando la parte real de la misma. y la otra para la potencia no.
Cabe destacar que la fuente que supuse es
y la corrientes es
.
También me gustaría saber porque si se puede obtener la expresión de la corriente usando las representaciones complejas,
Cabe destacar que la fuente que supuse es




Comentario