El problema es el siguiente:

Y la solución aqui en dos partes, en primer lugar aplicando Bernouilli

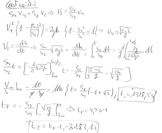
y en otro lugar aplicando la ecuación de la continuidad

Mi duda radica en Bernouillo... ya que al simplificar la formula, siempre me queda:
gh + 1/2 v1^2 = 1/2v2^2.... y no 1/4v2^2
Además, la altura del depósito se puede sacar ya que se sabe el Volumen y el radio del diámetro y el no lo utiliza en ningun lado, con lo cual se puede simplificar todo esto mucho mas... no?
Un saludo!
Y la solución aqui en dos partes, en primer lugar aplicando Bernouilli
y en otro lugar aplicando la ecuación de la continuidad
Mi duda radica en Bernouillo... ya que al simplificar la formula, siempre me queda:
gh + 1/2 v1^2 = 1/2v2^2.... y no 1/4v2^2
Además, la altura del depósito se puede sacar ya que se sabe el Volumen y el radio del diámetro y el no lo utiliza en ningun lado, con lo cual se puede simplificar todo esto mucho mas... no?
Un saludo!




Comentario