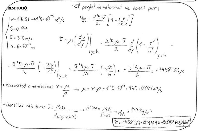
[FONT=Verdana]La distribución de velocidad por el flujo de un aceite newtoniano a través de dos placas paralelas fijas viene dada por la expresión de U(y):
[/FONT][FONT=Verdana]Donde "la u con la barra arriba" es la velocidad mediana. La viscosidad cinemática del fluido es de v= 1'5 St siendo su densidad relativa de S= 0'94. Cuando la velocidad mediana es de 3'5 m/s i h= 0'6 cm, determinar el esfuerzo tangencial (τ) que actúa sobre la parte inferior.
[/FONT]
[FONT=Verdana]
[/FONT][FONT=Verdana]
[/FONT]
[/FONT][FONT=Verdana]Donde "la u con la barra arriba" es la velocidad mediana. La viscosidad cinemática del fluido es de v= 1'5 St siendo su densidad relativa de S= 0'94. Cuando la velocidad mediana es de 3'5 m/s i h= 0'6 cm, determinar el esfuerzo tangencial (τ) que actúa sobre la parte inferior.
[/FONT]
[FONT=Verdana]
[/FONT][FONT=Verdana]
[/FONT]





Comentario