Se tiene un cono "parado" sobre su "punta", de radio y altura , si a una altura hay un orificio de área . Determine el tiempo en que deja de salir agua por dicho orificio
Anuncio
Colapsar
No hay ningún anuncio todavía.
Propuesto de fluidos 1
Colapsar
X
-
-
Re: Propuesto de fluidos 1
[FONT=Times New Roman]Hola Nachop. Se puede aplicar el Teorema de Torricelli para la velocidad de salida del líquido por el orificio[/FONT]
[FONT=Verdana][/FONT]
[FONT=Verdana]con z desde el vértice del cono[/FONT]
[FONT=Verdana]con lo que el caudal es[/FONT]
[FONT=Verdana][/FONT]
[FONT=Verdana]Por otra parte el caudal es la perdida de volumen por unidad de tiempo[/FONT]
[FONT=Verdana][/FONT]
[FONT=Verdana]Igualando[/FONT]
[FONT=Verdana][/FONT]
[FONT=Verdana]Si r es el radio de la sección del cono a altura z, tenemos que [/FONT]
[FONT=Verdana][/FONT]
[FONT=Verdana]luego[/FONT]
[FONT=Verdana][/FONT]
[FONT=Verdana]El diferencial de volumen es[/FONT]
[FONT=Verdana][/FONT]
[FONT=Verdana]Sustituyendo[/FONT]
[FONT=Verdana][/FONT]
[FONT=Verdana][/FONT]
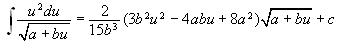
[FONT=Verdana][Error LaTeX: Compilación LaTeX fallida] [/FONT]
[FONT=Verdana](el menos se ha ido al invertir los límites de integración)[/FONT]
[FONT=Verdana]Te adjunto una imagen con la solución de la integral.[/FONT]
[FONT=Verdana]También se puede resolver de forma más exacta aplicando Bernoulli, pero la integral que sale es más complicada.[/FONT]
[FONT=Verdana]Saludos[/FONT]"Una creencia no es simplemente una idea que la mente posee, es una idea que posee a la mente"
Contenido relacionado
Colapsar



Comentario