Estoy aprendiendo a usar este programa y hay todavía muchas cosas que no se. Sabeis si hay algun tutorial en español en la web?
Lo que necesito ahora en concreto es lo siguiente:
He representado unos datos en una gráfica y ahora necesito el valor en el eje x para un valor concreto del eje x? Se puede hacer eso directamente? o tengo que hacer un ajuste en la gráfica, pedirle la función al programa y a partir de ahí sacar los datos?
No se si me he explicado claramente
Muchas gracias!
Lo que necesito ahora en concreto es lo siguiente:
He representado unos datos en una gráfica y ahora necesito el valor en el eje x para un valor concreto del eje x? Se puede hacer eso directamente? o tengo que hacer un ajuste en la gráfica, pedirle la función al programa y a partir de ahí sacar los datos?
No se si me he explicado claramente

Muchas gracias!










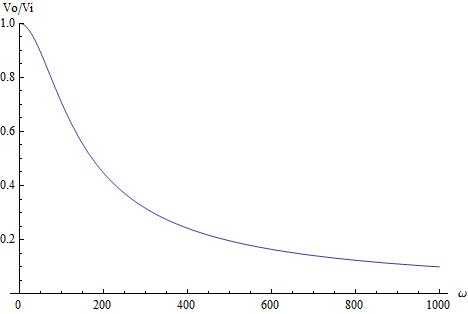
, sale algo coherente el problema es que no tomamos los suficientes puntos para frecuencias bajas y no se aprecia cómo va decayendo para las frecuencias bajas. Por cierto, si quiero sacar la frecuencia de corte a partir de esta gráfica, ¿tendría que mirar cuál es el valor del logaritmo de la frecuencia cuando los decibelios tengan un valor de -3?
frente a
a ver cómo me va y si puedo hacer el ajuste para sacar bien la frecuencia de corte.
Comentario