Hola a todos! Estoy realizando una relación de ejercicios que ha enviado el profesor para entregar, y yo creo que serán fáciles pero son demostraciones y cosas tan básicas (creo) que sinceramente me pierdo muchísimo con ellas, os explico:
Me haría falta un pequeño empujon es, dado un x perteneciente a R, probar que hay un único t perteneciente a R tal que:
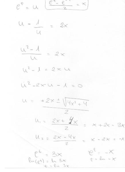
Aquí mis calculos, pero no sé como seguir
Adjunto 1
Y el otro, dado un x mayor o igual que 1, probar que hay un único t tal que:
Aquí mis calculos, que tampoco se seguirlo, porque será parecido al otro:
Adjunto 2
PD: He llamado a e^t, u, lo he puesto antes de los calculos.
Graciasssss
Me haría falta un pequeño empujon es, dado un x perteneciente a R, probar que hay un único t perteneciente a R tal que:
Aquí mis calculos, pero no sé como seguir
Adjunto 1
Y el otro, dado un x mayor o igual que 1, probar que hay un único t tal que:
Aquí mis calculos, que tampoco se seguirlo, porque será parecido al otro:
Adjunto 2
PD: He llamado a e^t, u, lo he puesto antes de los calculos.
Graciasssss



Comentario