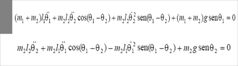
hola amigos la cuestion es la siguiente me encuentro analizando la solucion del pendulo doble, y despues de todos los calculos, halle dos ecuaciones de movimiento diferenciales un poco complicadas.

yo se que si considero los angulos pequeños estas dos ecuaciones se simplifican, pero la idea es analizar este evento para todos los angulos y no limitarlo a angulos pequeños. El punto es que quiero que estas dos ecuaciones se me vuelvan dos expreciones de forma tal

y asi poder solucionarla facilmente y poder graficarla, espero algiuen conozca un metodo que me permita simplicar este problema. de antemano muchas gracias
yo se que si considero los angulos pequeños estas dos ecuaciones se simplifican, pero la idea es analizar este evento para todos los angulos y no limitarlo a angulos pequeños. El punto es que quiero que estas dos ecuaciones se me vuelvan dos expreciones de forma tal
y asi poder solucionarla facilmente y poder graficarla, espero algiuen conozca un metodo que me permita simplicar este problema. de antemano muchas gracias










Comentario