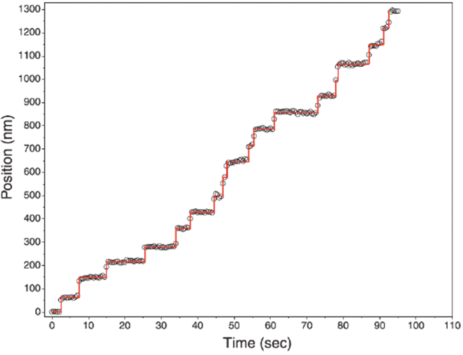
[FONT=Ubuntu]La velocidad media de la partícula entre los instantes t1=14s y t2= 30s es vm(14,30)
[/FONT]
[FONT=Ubuntu]
[/FONT][FONT=Ubuntu]
La aceleración media en el intervalo es am(0,100)
[/FONT]
[FONT=Ubuntu]No entiendo muy bien superponer los intervalos en las gráficas y explicarlas para llegar a la solución.[/FONT]
[/FONT]
[FONT=Ubuntu][/FONT][FONT=Ubuntu]
La aceleración media en el intervalo es am(0,100)
[/FONT]

[FONT=Ubuntu]No entiendo muy bien superponer los intervalos en las gráficas y explicarlas para llegar a la solución.[/FONT]






Comentario