Mirad, tengo dudas con este ejercicio:
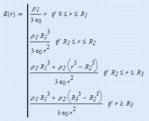
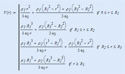
Una carga Q1 conocida se distribuye uniformemente por todo el volumen de una esfera de radio r1; concentrica a esta, hay un casquete de espesor d tambien cargado con carga Q2, ambas del mismo signo y separadas por un aislante (como si fuese un melocoton, el hueso cargado con Q1, la pulpa fuese el aislante y la piel, cargada con Q2).
Ademas, le han practicado al "melocoton" un tunel que parte desde r1 hasta el exterior de la corteza, de tal manera que una carga que inicialmente está alejada del sistema, es impulsada hacia el hueco y me preguntan que cual ha de ser la velocidad inicial para que se detenga un poco antes de tocar a Q1, atravesando la corteza, la zona aislante y parandose delante de la esfera interior, todo esto a traves del tunel practicado.
He aplicado Gauss para calcular los campos en el exterior del sistema (a la distancia que esta inicialmente la carga que se lanza) y dentro del tunel hasta donde dice que se detiene, para luego calcular los potenciales y aplicar el principio de conservacion de la energia, pero tengo dudas de si los campos estan bien o no.
Dudo de si he de contabilizar el campo mientras atraviesa el casquete exterior de espesor d y luego cuando está en la zona aislante.
¿Alguien podria aclararme el tema? muchas gracias por adelantado
Una carga Q1 conocida se distribuye uniformemente por todo el volumen de una esfera de radio r1; concentrica a esta, hay un casquete de espesor d tambien cargado con carga Q2, ambas del mismo signo y separadas por un aislante (como si fuese un melocoton, el hueso cargado con Q1, la pulpa fuese el aislante y la piel, cargada con Q2).
Ademas, le han practicado al "melocoton" un tunel que parte desde r1 hasta el exterior de la corteza, de tal manera que una carga que inicialmente está alejada del sistema, es impulsada hacia el hueco y me preguntan que cual ha de ser la velocidad inicial para que se detenga un poco antes de tocar a Q1, atravesando la corteza, la zona aislante y parandose delante de la esfera interior, todo esto a traves del tunel practicado.
He aplicado Gauss para calcular los campos en el exterior del sistema (a la distancia que esta inicialmente la carga que se lanza) y dentro del tunel hasta donde dice que se detiene, para luego calcular los potenciales y aplicar el principio de conservacion de la energia, pero tengo dudas de si los campos estan bien o no.
Dudo de si he de contabilizar el campo mientras atraviesa el casquete exterior de espesor d y luego cuando está en la zona aislante.
¿Alguien podria aclararme el tema? muchas gracias por adelantado





No quise decir que el campo entre R1 y R2 sea cero, solo que el cascarón no produce campo en esa región. Por supuesto que Q1 si produce su propio campo, que sería el único campo allí. Tenemos:
Comentario