Como ya os comentaba en la ayuda que me habeís prestado en otro post, he intentado resolver los ejercicios de las prácticas que tengo que entregar mañana, pero me he quedado atascado con algunos que no consigo sacar adelante.
El ejercicio es el siguiente:
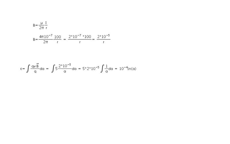
[FONT="]Una barra de cobre se desplaza con una velocidad v=5 m/s paralelamente a un alambre rectilíneo infinito por el que circula una corriente constante I=100 A. Calcular la fuerza electromotriz inducida en la barra.[/FONT]
[FONT="][/FONT]
[FONT="]Mi planteamiento es el siguiente:
[/FONT]
[FONT="][/FONT]
[FONT="]¿ Es posible que si la barra se desplaza con velocidad constante y siempre a la misma distancia, no hay variación de flujo con respecto al tiempo y por tanto la inducción es 0?
[/FONT]
[FONT="]
[/FONT]
[FONT="] [/FONT]
[IMG]file:///C:/Users/Javier/AppData/Local/Temp/msohtmlclip1/01/clip_image001.png[/IMG][FONT="][/FONT][FONT="][/FONT]
[FONT="] [/FONT]
[FONT="] [/FONT]
El ejercicio es el siguiente:
[FONT="]Una barra de cobre se desplaza con una velocidad v=5 m/s paralelamente a un alambre rectilíneo infinito por el que circula una corriente constante I=100 A. Calcular la fuerza electromotriz inducida en la barra.[/FONT]
[FONT="][/FONT]
[FONT="]Mi planteamiento es el siguiente:
[/FONT]
[FONT="][/FONT]
[FONT="]¿ Es posible que si la barra se desplaza con velocidad constante y siempre a la misma distancia, no hay variación de flujo con respecto al tiempo y por tanto la inducción es 0?
[/FONT]
[FONT="]
[/FONT]
[FONT="] [/FONT]
[IMG]file:///C:/Users/Javier/AppData/Local/Temp/msohtmlclip1/01/clip_image001.png[/IMG][FONT="][/FONT][FONT="][/FONT]
[FONT="] [/FONT]
[FONT="] [/FONT]








Comentario