Muchas gracias por la respuesta anterior de mi duda, me sirvió mucho 
Tengo otro ejercicio donde me ha quedado un lio en las integrales, creo que lo estoy haciendo mal...
Se tiene un cascarón esférico grueso de radio interno b y radio total a (a>b), que contiene una carga total Q uniformemente distribuida. Necesito determinar la magnitud del campo eléctrico a una distancia r del centro de la esfera.

Gracias de antemano!
Saludos

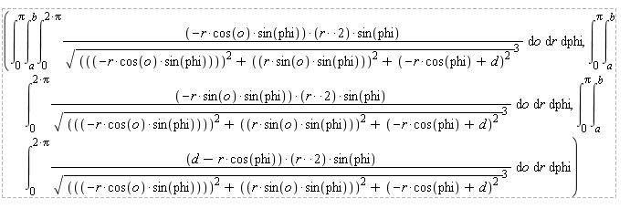
Tengo otro ejercicio donde me ha quedado un lio en las integrales, creo que lo estoy haciendo mal...
Se tiene un cascarón esférico grueso de radio interno b y radio total a (a>b), que contiene una carga total Q uniformemente distribuida. Necesito determinar la magnitud del campo eléctrico a una distancia r del centro de la esfera.
Gracias de antemano!
Saludos





así que no creo que vaya por ahí el camino...
. Al principio puede parecer un palo aprenderlo, pero es gratificante, te puedes expresar bien, y si necesitas ayuda también es bueno que lo aprendas para los que intentan ayudar puedan hacerlo placenteramente y no se les vayan las ganas en el intento de descifrar fórmulas.

Comentario