Dado este circuito piden calcular la admitancia vista desde el generador.
Datos:
Us=17 sen(10^4 t) v
R=1K
L=0.2H
M=0.1H

Sol:Ygenerador= (1,76‐j2,94)10^‐4 Ω^-1
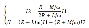
Por mallas planteo estas ecuaciones:

simplifico

despejo y obtengo:

Dado que me queda de la forma U=Z I1, Z es:

Y por ultimo para obtener la admitancia hago la inversa de Z, es decir Y=1/Z
pero no me coincide con el resultado ¿que he hecho mal?
Gracias de antemano.
Datos:
Us=17 sen(10^4 t) v
R=1K
L=0.2H
M=0.1H
Sol:Ygenerador= (1,76‐j2,94)10^‐4 Ω^-1
Por mallas planteo estas ecuaciones:
simplifico
despejo y obtengo:
Dado que me queda de la forma U=Z I1, Z es:
Y por ultimo para obtener la admitancia hago la inversa de Z, es decir Y=1/Z
pero no me coincide con el resultado ¿que he hecho mal?
Gracias de antemano.



Comentario