hola gente, tengo unas dudas que espero ustedes me puedan resolver.
el problema dice asi:
Se distribuye carga de manera uniforme sobre un disco delgado circular de radio R. La carga por unidad de área es s. calcule el campo eléctrico sobre un punto P en el eje del disco a una distancia z de su centro

entonces teniendo en cuenta que yo puedo tomar el disco como anillos infinitos yo empezaría por la siguiente ecuación.

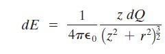
que después de hacer unos reemplazos queda así:

ahora las preguntas son:
cuando el autor del libro integra, yo señale una "r" en rojo que la verdad no se que se hizo para mi la borro porque si y he señalado otro recuadro azul porque no se porque para mi y hasta donde tengo entendido al desarrollar una integral se remplaza primero el limite superior y después el inferior, y según lo veo en el recuadro azul esta al revés, esas son las dudas que tengo.
de antemano muchas gracias por la ayuda.
el problema dice asi:
Se distribuye carga de manera uniforme sobre un disco delgado circular de radio R. La carga por unidad de área es s. calcule el campo eléctrico sobre un punto P en el eje del disco a una distancia z de su centro
entonces teniendo en cuenta que yo puedo tomar el disco como anillos infinitos yo empezaría por la siguiente ecuación.
que después de hacer unos reemplazos queda así:
ahora las preguntas son:
cuando el autor del libro integra, yo señale una "r" en rojo que la verdad no se que se hizo para mi la borro porque si y he señalado otro recuadro azul porque no se porque para mi y hasta donde tengo entendido al desarrollar una integral se remplaza primero el limite superior y después el inferior, y según lo veo en el recuadro azul esta al revés, esas son las dudas que tengo.
de antemano muchas gracias por la ayuda.







Comentario