A partir de los datos numericos que se describen a continuacion,y sabiendo que la densidad del fluido es 1 gramo por centimetro a la menos 3,y que la tuberia tiene una seccion de 10 cm cuadrados,calcular:
-La velocidad media del fluido en la tuberia.
-La viscosidad del fluido.
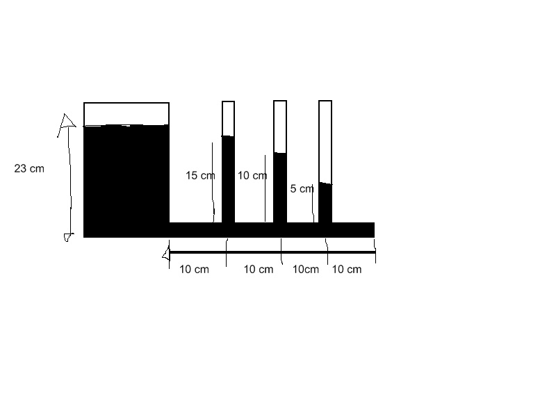
Se trata de un tanque abierto lleno hasta 23 cm de alture.Conectado a este por abajo y a diez cm de este hay otro(s=10cm cuadrados)con agua hasta 15 cm de altura.A diez centimetros mas a la derecha hay otro tubo de agua hasta 10 cm.A diez cm mas hay otro con agua hasta 5 cm de altura.Hay otros diez centimetros mas de tubo y se acaba(el tuco esta abierto.
No se si os aclarareis xo es k yo tampoco me aclaro.
-La velocidad media del fluido en la tuberia.
-La viscosidad del fluido.
Se trata de un tanque abierto lleno hasta 23 cm de alture.Conectado a este por abajo y a diez cm de este hay otro(s=10cm cuadrados)con agua hasta 15 cm de altura.A diez centimetros mas a la derecha hay otro tubo de agua hasta 10 cm.A diez cm mas hay otro con agua hasta 5 cm de altura.Hay otros diez centimetros mas de tubo y se acaba(el tuco esta abierto.
No se si os aclarareis xo es k yo tampoco me aclaro.







Comentario