Anuncio

Colapsar
No hay ningún anuncio todavía.

derivadas del valor absoluto

Colapsar
X
 
  • Filtro
  • Hora
  • Mostrar
Borrar todo
nuevos mensajes

  • 1r ciclo derivadas del valor absoluto

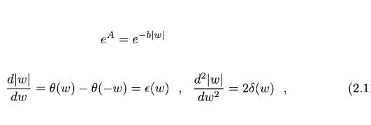
    Alguien sabe el porque de los calculos de la figura que adjunto????

    me refiero a la primera y segunda derivada del valor absoluto de w
    Archivos adjuntos
    Última edición por alejandrito29; 25/09/2009, 03:51:16.

  • #2
    Re: derivadas del valor absoluto

    Es básicamente notación. En realidad es bastante simple,


    de donde


    Por otra parte, la definición de la función paso es precisamente


    De ahí sale la primera derivada. Para la segunda, sólo hay que tener en cuenta que


    Esto es a causa de que la delta es una "función" par.
    La única alternativo a ser Físico era ser etéreo.
    @lwdFisica

    Comentario


    • #3
      Re: derivadas del valor absoluto

      muchas gracias pod, estaba demasiado perdido, me queda una ultima duda (busque en internet y no encontre nada relacionado con esta funcion paso)

      ¿La delta es una funcion par cualquiera ?.....¿Nada que ver con la delta de dirac cierto?...Esto ultimo no lo creo, pero quiero asegurarme

      Comentario


      • #4
        Re: derivadas del valor absoluto

        Escrito por alejandrito29 Ver mensaje
        muchas gracias pod, estaba demasiado perdido, me queda una ultima duda (busque en internet y no encontre nada relacionado con esta funcion paso)

        ¿La delta es una funcion par cualquiera ?.....¿Nada que ver con la delta de dirac cierto?...Esto ultimo no lo creo, pero quiero asegurarme

        La que te pone pod es, precisamente, la delta de Dirac.
        Y la función la función escalón (o "paso") de Heaviside.

        Comentario

        Contenido relacionado

        Colapsar

        Trabajando...
        X