Hola a todos tengo una E.D que necesito saber como resolverla y si ahi alguien que me ayude ojala explicandome paso a paso se lo agradeceria :
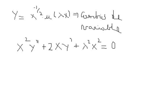
Con el cambio de variable y= x^(-1/2)u(Landa*x)
encuentre la solucion general de
x^2*y´´ + 2xy´+ landa^2*x^2 = 0
Obtener usando el desarrollo por frobenius
[IMG]file:///C:/DOCUME%7E1/INCOGN%7E1/CONFIG%7E1/Temp/moz-screenshot.jpg[/IMG][IMG]file:///C:/DOCUME%7E1/INCOGN%7E1/CONFIG%7E1/Temp/moz-screenshot-1.jpg[/IMG]
Con el cambio de variable y= x^(-1/2)u(Landa*x)
encuentre la solucion general de
x^2*y´´ + 2xy´+ landa^2*x^2 = 0
Obtener usando el desarrollo por frobenius
[IMG]file:///C:/DOCUME%7E1/INCOGN%7E1/CONFIG%7E1/Temp/moz-screenshot.jpg[/IMG][IMG]file:///C:/DOCUME%7E1/INCOGN%7E1/CONFIG%7E1/Temp/moz-screenshot-1.jpg[/IMG]










Comentario