hola amigos necesito que me ayuden con un problema que tengo lo detallare.
encontrar la distribución de la carga que da lugar a un campo de dos dimensiones, cuyo potencial en cualquier punto en el plano es
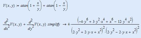
p=c( tan^-1(1+x/y) + tan^-1(1-x/y) )
donde c es una constante del tipo 1/2 pi e
les dire lo que he hecho:
de la ecuacion de poisson trate de encontrar la densidad de carga, la ecuacion es conocida no creo que deba escribirla, el problema es que al resolver la parte del nabla^2 eso se hace cero
y no se como mas seguir.
si alguien pudiera ayudarme y darme alguna luz de como atacar el problema me ayudaria mucho
gracias
encontrar la distribución de la carga que da lugar a un campo de dos dimensiones, cuyo potencial en cualquier punto en el plano es
p=c( tan^-1(1+x/y) + tan^-1(1-x/y) )
donde c es una constante del tipo 1/2 pi e
les dire lo que he hecho:
de la ecuacion de poisson trate de encontrar la densidad de carga, la ecuacion es conocida no creo que deba escribirla, el problema es que al resolver la parte del nabla^2 eso se hace cero
y no se como mas seguir.
si alguien pudiera ayudarme y darme alguna luz de como atacar el problema me ayudaria mucho
gracias




Comentario