[FONT=Verdana]Hola, en este enlace http://www.sc.ehu.es/sbweb/fisica/fluidos/dinamica/vaciado/vaciado.htm#Actividades encontré la fórmula para calcular el tiempo de vaciado de un recipiente donde dice que T = (S1/S2)Sqrt((2h/g)) donde S1 es el área total del recipiente, S2 es el área del orificio, h es la altura del líquido en t = 0 y g es la gravedad, tengo dos preguntas:
1. Para el desarrollo de esta fórmula (Tiempo de vaciado T) el área del recipiente que utilizan es un cilindro. ¿Esta fórmula me serviría si el recipiente que yo voy a utilizar es un trapecio? y en este caso, ¿S1 sería el área del trapecio?
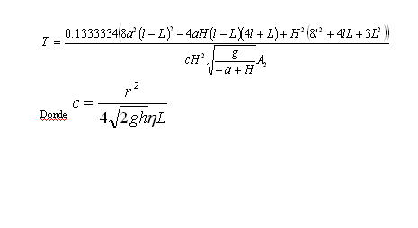
2. En esta fórmula el tiempo de vaciado no depende directamente de la viscosidad del liquido, entonces si yo utilizo un aceite que tiene determinada viscosidad esta formula me serviría, o en otras palabras el tiempo de vaciado de un recipiente depende de la viscosidad del líquido a utilizar.
Gracias[/FONT]
1. Para el desarrollo de esta fórmula (Tiempo de vaciado T) el área del recipiente que utilizan es un cilindro. ¿Esta fórmula me serviría si el recipiente que yo voy a utilizar es un trapecio? y en este caso, ¿S1 sería el área del trapecio?
2. En esta fórmula el tiempo de vaciado no depende directamente de la viscosidad del liquido, entonces si yo utilizo un aceite que tiene determinada viscosidad esta formula me serviría, o en otras palabras el tiempo de vaciado de un recipiente depende de la viscosidad del líquido a utilizar.
Gracias[/FONT]















Comentario